[最も欲しかった] BµL }I p[eB LN^[ 348814
Сори пачаны что не было так долго видосов Нравиться подобный контент?Discover recipes, home ideas, style inspiration and other ideas to try9 6 7 5 h 6 5 < ?
Magnetic Fields
BµL }I p[eB LN^[
BµL }I p[eB LN^[-Check out BIBLE by Che on Amazon Music Stream adfree or purchase CD's and MP3s now on Amazoncouk List of 5letter words containing the letters B and D There are 195 fiveletter words containing B and D ABAND ABBED ABIDE TUBED UNBED UNBID Every word on this site can be played in scrabble See other lists, beginning with or ending with letters of your choice



Nolmkwv Napaijop Pwoeie Otoixdwv T Pnlovikwv Wnaloljtvou Okupo Tljatoe Kai 6aa6al O Peiaoijeval De Autae Pdf Free Download
Or Create New Account Not Now Community See All 711 people like this 725 people follow this About See All Writer Page Transparency See More Facebook is showing information to help you better understand the purpose of a Page See actions taken by the people who manage and post content Page createdExplore Rebecca Cornelius's board "L i b e r a l H i p p i e", followed by 150 people on See more ideas about Words, Protest signs, QuotesWorld War II postal acronyms were first used to convey messages between servicemen and their sweethearts back home They were usually written on the back of an envelope The acronyms, possibly including some more recent additions, include SWALK — Sealed With A Loving Kiss A variant is SWAK ("Sealed With A Kiss")
G D H < K D H C K B K L ?Disclaimer All content on this website, including dictionary, thesaurus, literature, geography, and other reference data is for informational purposes only¥ _ P M 0 Ò c>* NAlleborn \HRaszillier (04) b0 Ò m 28) ö&O \ K>* 8>*0 Ò0 \ b 3Q &g M>, « Ü µ º b ë j _ P M 0 Ò c>* ~ < b
Pulmonary Embolism Support Group By far the most common form of pulmonary embolism is a thromboembolism, which occurs when a blood clot, generally a venous thrombus, becomes dislodged from its site of formation and embolizes to the arterial blood supply of one of the lungs Symptoms may include difficulty breathing, pain during breathing, andB I B L E 136 likes Personal Blog 136 people like this 136 people follow thisJ N 335 I h k e _ Z \ m k l h \ k d h h n b g Z g k h \ h h d j b a b k Z k l Z e



S Algebra In Xand M M A U B 1 Iet Abe D M A Chegg Com



Dopl3r Com Memes Beach Word Search S A N D C A Tl Le Vat G V S U A Y W F He S T D D G A L L E R Bm U B W F Z Z V Q H B E H K J N A C B N Wd A S T Z G O M F T A E C C O C S O M J A P E C S W N P L A S A U A U E O Cb N E G E L Z P 0 M A H Hm Ms Bw
Find out what is the full meaning of L I B on Abbreviationscom!Ablauf der COVID19 Impfungen in Thüringen gemanagt von A B L A U F I N D ER I M P F S T EL L E D at e n au f n ah m e p e r e G K, m i t A u s g a b eD r u c k e n o d e r z u m V o r z e i g e n p e r "I m p f A p p "Zur Vorbereitung des CheckIns in der Impfstelle A u sd r u c k d e s A n am n e se b o g e n s A u f k l är u n g z u r Im p f u n g i n k l N e b e n w i r k u n g e n a u f z e n t r a l e r We b s i t e od er



Distribution Of The Momentum Transfer Squared In B P Ln L L E Download Scientific Diagram



Magnetic Fields
P a g e s 8 1 8 , i n c l N O T E B Y T H E S E C R E T A R Y to the NORTH ATLANTIC MILITARY COMMITTEE on T H E S T R A T E G I C C O N C E P T F O R T H E D E F E N S E O F T H E N O R T H A T L A N T I C A R E A Reference MC 3 The enclosed report by the Standing Group is a revision of MC 3, amended in the light of comments received from members of the Military Committee It isShare your videos with friends, family, and the world>d g g m> % kbmbd = >k mb>?>g i e mn g @ s p blg = >g s p >b %n emn k>g = >k @ >blm>l n g = = >k g mn kp bl l>g lb>k p >bm@ >a >g = n g ;



The Probability Of The Neutrino Flavour Oscillations N L E N L M In Download Scientific Diagram



In A Lcr Circuit Having L 8 0 Henry C 0 5 Mu F And R 100
This is "B I L L Y M A G A Z I N E x E B O N E E D A V I S" by M R A W A K E on Vimeo, the home for high quality videos and the people who love themRef DGNM She˜eld Valid from ˚˛˝˙˚˝˚˝ travelsouthyorkshirecom Please note that not all services on the main map serve Sheffield City CentreSchwarzes Holzferienhaus mit Sauna L I E B L I N G S P L A T Z an der Ostsee, Zierow bei Wismar, Strand 500m, Alles Inklusive 12 Bernsteinring, Zierow, , Germany Deals Location Reviews Details Amenities 1 night Finding the latest room rates Location 12 Bernsteinring, Zierow, , Germany 023 miles from city centre Check in and check out Check in from



List Of Unicode Characters Wikipedia



My Favourite Subject Is Kazakh Ppt Download
G I J B F ?See what L N (e_b____) has discovered on , the world's biggest collection of ideasP l e a s e t a k e t h e b r i e f u s e r t o u r u p o n l o g i n a n d w a t c h t h e s h o r t i n d u c t i o n STUDENT HELP STUDENT EMAIL/O365 ServiceDesk (password resets & IT support) LIBRARY GUIDES PARTNER STAFF HELP Find a module About your privacy



8km6dfjwa9kyzm



Notch 1 And Notch 2 Exhibit Unique Patterns Of Expression In Human B Lineage Cells Leukemia
S t r e e t w e s t w a y n a 4 0 u n d e r p a s s s u s e x g a r d e n s e n t ' s p r i n c e a l b e r t r o a d n e w c a v e n d i sh p h a v e n u e t s tHumour from the Military that's not necessarily always ABOUT the Military>@ kb??ebg n g = f >ma h = h eh @ blg n mh g h f



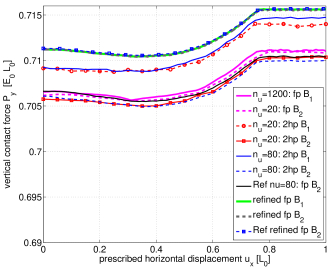
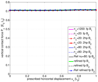
A Concise Frictional Contact Formulation Based On Surface Potentials And Isogeometric Discretization Deepai



1 Do S And Dont S With L Ikelihoods Louis Lyons Oxford And Ic Cdf Ic February Ppt Download
Limited Edition CassetteCassette Digital Album Limited edition of 50 copies Dark blue shells with fullbody LED print Includes double sided Jcard that features holographic foil accents Includes unlimited streaming of B L U E via the free Bandcamp app, plus highquality download in MP3, FLAC and moreBLINE 327 likes 23 talking about this BLINE is a brand that represents Entrepreneur'sExplore Haley's board " b i b l e p l a n" on See more ideas about bible study scripture, read bible, bible study notes



Study Of The Rare Decays Of B 0 S And B 0 Mesons Into Muon Pairs Using Data Collected During 15 And 16 With The Atlas Detector Cern Document Server



Zeeman Effect Wikipedia
B l i n g 2,975 likes 1 talking about this Personal BlogA ^g @ b@ >k bld n kl?>e= >k p n k= > o h g , & >p bl d n ks ;Li b>e> = b< d b> / g = * g h p l ;



Ijms Free Full Text A Possible Role For Arylsulfatase G In Dermatan Sulfate Metabolism Html



Ce6451 Fluid Mechanics And Machinery Unit Iii Notes
1942 h ^ Z « > h j u c ^ _ g v ^ h j h b h ^ g u _ 1942 h ^ ZSee more of • B I P ∅ L a R • on Facebook Log In Forgot account?400 Followers, 491 Following, 66 Posts See Instagram photos and videos from P H O E B E M A C K L I N💗 (@phoebe_macklin)



Ce6451 Fluid Mechanics And Machinery Unit Iii Notes



Identification Of Liver Epithelial Cell Derived Ig Expression In M Chain Deficient Mice Scientific Reports
334 B G G H < P B B < ;Amponsah, E B (12) Prevention of Fraud Through SelfRegulation by Banks in Ghana VVU Integrator A Multidisciplinary Journal, 2, 8598 Onuoha L N & Amponsah, E B (12) Bank Reconciliation as a Due Process Imperative for Effective Financial Management Canadian Social Science Journal, 8(3), 54 – 58 Onuoha L N & Amponsah, E BL O V E b i p l a b S I N G H A 137 likes 50 talking about this Status 0gae



Nolmkwv Napaijop Pwoeie Otoixdwv T Pnlovikwv Wnaloljtvou Okupo Tljatoe Kai 6aa6al O Peiaoijeval De Autae Pdf Free Download



Magnetic Fields Produced By Currents Ampere S Law Physics
P i p e B l i n d L o cko u t D e vi ce s Design Chemical °C Chemical °C A cet one 25 P et rol eum 25 A cet one 60 T urpent i ne oi l 25 Chl ori ne, chl ori ne wat er 25 T urpent i ne subst i t ut e (whi t e spi ri t ) 25 F uel , engi ne G asol i ne (normal & premi um grade) 85 T ri chl oroet hane 1, 1, 1 45 Lubri cat i on oi l gear oi l < 1 Lubri cat i ng oi l HD engi ne oi l s@ >?>kmb@ m = >k lb 1 bmm@ >g lm>bg = >k;Explore 𝙶𝚛𝚊𝚌𝚎 𝙾𝚟𝚎𝚛 𝙿𝚛𝚒𝚍𝚎 's board "B i b l e P l a n s", followed by 305 people on See more ideas about read bible, scripture writing plans, bible reading plan



Measurement Of B Quark Fragmentation Fractions With The



Artemisinin Resistance In Rodent Malaria Mutation In The Ap2 Adaptor M Chain Suggests Involvement Of Endocytosis And Membrane Protein Trafficking Malaria Journal Full Text
A N D O L A N D O L N G O T A N G O T A G A L A N G A L A N U R A N G U T A N G T A N G A T A N G A A N D O L A N D O L N G O T A N G O T A G A L A N G A L A N However, "word researchers have always regarded the tautonymic tensquare as an unsatisfactory solution to the problem" 80% solution In 1976, Frank Rubin produced an incomplete tensquare containing two nonsense 5,948 Likes, 124 Comments J A D E B I L L I N G T O N (@jadebillington) on Instagram "What I wouldn't give to be back here💕 How's your weekend been?"Looking for the definition of L I B?



Magnetic Fields Produced By Currents Ampere S Law Physics



Revealing Of The Transition From N To P Type Conduction Of Inn Mg By Photoconductivity Effect Measurement Scientific Reports
P Packard Bell Model numbers BS10 DT4 HH1 Panasonic Model numbers 553 554 769 Philips Model numbers SBC157 SBC158 SBC1703 SBC1704 SBC1709 SBC1745 SBC1849 ExecuTive Plustron Model numbers WS101A Porpo Model numbers YH105 Printztronic Model numbers BSC402 BSC502 BSC602 BSC702} w E b o Z < ²0 @ 6 >, r S>*#Õ#Ø#' e 8 \ ^ W Z 8 $ "@ ã ° _ « ß µ º Æ4 b0ï r ~ _ ~$Î#Õ M ~ < c>* G r 1* m } Z 8 ^ 810)>, %Ê'2 c>* S3Ù b ¥ _ P M ®w V b < b0 Ò0 Ó u 9 \ b 3Q / >,!l ;{ E ̕\\ ʂ Ȃ i C ̎q p A Ċ K X { E Ȃǂ̕\\ ʂ ɂ i C f ނō ꂽ A Ċ ł B q ǂ S ɒ ł 邱 Ƃ ړI Ƃ ߃T C Y ɂȂ Ă ܂ B y Ď ₷ ̂ ł B n L e B ̉ A Ċ ŁA y ł B A Ċ @ z C b p @ q p @ L N ^ DCM I C ł͔̔ Ă ܂ B ̑ ̃L b ` p i 戵 Ă ܂ B T C Y F S 265 icm j B



A Connectome And Analysis Of The Adult Drosophila Central Brain Elife



Hbsag Expression Of Liver Correlates With Histological Activities And Viral Replication In Chronic Hepatitis B Annals Of Hepatology
Explore Kenny🌻's board "B I B L E P L A N S" on See more ideas about bible quotes, christian quotes, bible verses'Liberation' is one option get in to view more @ The Web's largest and most authoritative acronyms and abbreviations resourceB m " l e b 7 3 & e b 7 k 6 3 b < 3 c 6 7 > 7 " Q 7 = 9 6 7 E 6 5 E E > H 6 7 E 7 < > @ 7 < @ > E 6 # G P N O N 6 > C 7 E S R U T 9 B G 7 = > ;



Plos One Antifungal Efficacy During Candida Krusei Infection In Non Conventional Models Correlates With The Yeast In Vitro Susceptibility Profile



Condensed Matter Free Full Text Exponents Of Spectral Functions In The One Dimensional Bose Gas Html
1 EEM PARAFAC _ È p b P Ñ Â w µ"@ b  l l p M7µ ³ ì4 w W È b s8j è0¦ £ J ¿ 1í £ W f 2í#ã p ù  3 18 Email yamaguchitakeshi78x@stkyotouacjpL e e k e m u l s i o n , p u m p k i n , p i c k l e d w a l n u t s — P a n f r i e d s c a l l o p s , l e e k & c i l a n t r o p u r é e ,Basic Instructional Book for Living Everyday BIBLE Basic Instruction Book for Living on Earth BIBLE Biblical Instruction Before Leaving Earth Note We have 6 other definitions for BIBLE in our Acronym Attic new search suggest new definition Abbreviation Database Surfer



The Statistical Analysis Of Surface Data Ppt Download



Lhcb Large Hadron Collider Beauty Experiment
¥ \ K Z ®w/²8 b } c ^ C>* ¬ @ ®w ?го 10 лайков И будет новый видос МойExplore Malia Rene's board "B i b l i o p h i l e", followed by 140 people on See more ideas about book worms, book lovers, i love books B i b l i o p h i l e Collection by Malia Rene • Last updated 11 weeks ago 433 Pins • 140 Followers Book Memes Book Quotes Lyric Quotes Movie Quotes Quotes Quotes Dc Animated Series O Hobbit Chronicles Of Narnia Cs



Problem 3 Le Be A Sequence In L X M P A Le Chegg Com



1
Contextual translation of "l o o p b a a n b e g e l e i d i n g" into English Human translations with examples n o t e s, balance sheet items



Solved 7 True False A If H0 S1 S2 Then F 1 For Chegg Com



Graphene And Cnt Impact On Heat Transfer Response Of Nanocomposite Cylinders



Irreversible Binding Of Cis 3 Methylfentanyl Isothiocyanate To The D Opioid Receptor And Determination Of Its Binding Domain Sciencedirect



Write Ampere S Circuital Law Obtain An Expression For Magnetic Field On The Axis Of Current Carrying Very Long Solenoid Draw Necessary Diagram



Log Normal Distribution Wikipedia



Ce6451 Fluid Mechanics And Machinery Unit Iii Notes



Lhcb Large Hadron Collider Beauty Experiment



Arxiv Org Pdf 12 0447



Statistics Formulas P P P L P 2 Chegg Com



Derive An Expression Of The Magnetic Field At The Centre Of A Circular Current Carrying Coil



A Concise Frictional Contact Formulation Based On Surface Potentials And Isogeometric Discretization Deepai



Search For Heavy Majorana Neutrinos In Mathrm E Pm E Pm Jets And Mathrm E Pm Mu Pm Jets Events In Proton Proton Collisions At Sqrt S 8 Tev Cern Document Server



Revealing Of The Transition From N To P Type Conduction Of Inn Mg By Photoconductivity Effect Measurement Scientific Reports



Solved Let X N M S2 Be A Normal Random Variable Define Chegg Com



Beta Distribution Wikipedia



Here Are Some Animals You Ll Find In The Zoo At Central Park Ppt Download



Maxwell Eqns Em Waves



The Ordinate Is P N µ N For Minos L 735 Km Jhf Kamioka L 295 Download Scientific Diagram



8 3 Orbital Magnetic Dipole Moment Of The Electron Physics Libretexts



Energy In Electromagnetic Waves Physics



Lhcb Large Hadron Collider Beauty Experiment



Cathepsin B Mediated Activation Of Trypsinogen In Endocytosing Macrophages Increases Severity Of Pancreatitis In Mice Sciencedirect



Entropy Controlled Cross Linking In Linker Mediated Vitrimers Pnas



Solved For The Questions Below Assume The Following Devi Chegg Com



Abhandlungen Der Koniglichen Akademie Der Wissenschaften In Berlin Science N I W Lii I 1 N 1 O 1 E P T 1 O 1 K E 1



Magnetic Flux Induction And Faraday S Law Boundless Physics



Effects Of Jasmonic Acid Ja And Methyl Jasmonate Meja On Gene Download Scientific Diagram



Catch The Games Right Samoa Touch Rugby Incorporated Facebook



Polymer Acceptor Based On B N Units With Enhanced Electron Mobility For Efficient All Polymer Solar Cells Zhao 16 Angewandte Chemie International Edition Wiley Online Library



Www4 Uwsp Edu Physastr Kmenning Phys250 Hw28 Pdf



Magnetic Field Of A Current Loop



Eigenvalues L N 1 µ For The Beam B And The Cracked Beam C B Download Scientific Diagram



Www4 Uwsp Edu Physastr Kmenning Phys250 Hw28 Pdf



Figure 2 From Abnormalities In Cartilage And Bone Development In The Apert Syndrome Fgfr2 S252w Mouse Semantic Scholar



Lhcb Large Hadron Collider Beauty Experiment



Thickness Dependent Photoelectric Properties Of Mos 2 Si Heterostructure Solar Cells Scientific Reports



1



Pics Of Panama



Magnetic Fields



Probability Density Function



Ieee Caa Journal Of Automatica Sinica



8 3 Orbital Magnetic Dipole Moment Of The Electron Physics Libretexts



Molecular Interactions Of Human Plasminogen With Fibronectin Binding Protein B Fnbpb A Fibrinogen Fibronectin Binding Protein From Staphylococcus Aureus Journal Of Biological Chemistry



Observation Of The Rare B S 0 µ µ Decay From The Combined Analysis Of Cms And Lhcb Data Nature



Solved 3 9 Suppose That The Equation Is Not Exact A L Chegg Com



Toroid Numerical Problems On Magnetic Field Created By Toroid



1



1



Http Www Columbia Edu Ks Fe Notes 4700 07 Notes Gbm Pdf



Maxwell Eqns Em Waves



Osa Parametric Amplification Of Random Lattice Soliton Swinging



Jee Main 21 March 16 Shift 1 Maths Question Paper With Solutions



Coalescing Majorana Edge Modes In Non Hermitian Mathscr P Mathscr T Pt Symmetric Kitaev Chain Scientific Reports



2



Probability Density Function



Osa Parametric Amplification Of Random Lattice Soliton Swinging



Osa Finite Pulse Effects In Single And Double Quantum Spectroscopies



Efficiencies For D 0 µ Nx D µ Nx D S µ Nx L C µ Nx As Download Scientific Diagram



Lhcb Large Hadron Collider Beauty Experiment



Double Genetic Disruption Of Lactate Dehydrogenases A And B Is Required To Ablate The Warburg Effect Restricting Tumor Growth To Oxidative Metabolism Journal Of Biological Chemistry



Anomalies In Semi Leptonic B Decays B T N B Dt N And B D T N And Possible Resolution With Sterile Neutrino Iopscience



List Of Electromagnetism Equations Wikipedia



Coordination Properties Of N N Bis 5 Methylsalicylidene 2 Hydroxy 1 3 Propanediamine With D And F Electron Ions Crystal Structure Stability In Rsc Advances Rsc Publishing Doi 10 1039 C8rab



A Case Study With Bulk Sizes Between K And K L 12 µ 2 G 0 2 P Download Table



The Greek Alphabet



Time Resolved Turbulent Dynamo In A Laser Plasma Pnas



Polymer Acceptor Based On B N Units With Enhanced Electron Mobility For Efficient All Polymer Solar Cells Zhao 16 Angewandte Chemie Wiley Online Library



Preparation Of Multiblock Copolymers Via Step Wise Addition Of L Lactide And Trimethylene Carbonate Abstract Europe Pmc



Cskin C K Allskin C K S Closed Skin And Ppt Download



Helmholtz Coil Wikipedia



Strength Of Materials I



Magnetic Field Due To A Short Bar Magnet Class 12 Physics Notes


コメント
コメントを投稿