無料ダウンロード nlY~ t[Ê^ 261536-Nlyte logo
Objektiv och pålitlig kunskap I en tid då vetenskapen ifrågasätts och medvetna lögner tas för sanning behövs NE mer än någonsin Hundratusentals lärare, elever, yrkesverksamma och privatpersoner använder NE som kunskapsleverantör och\G >* $Î7Á#Ý N Ê!T 0¿c>* S f ¦ >& S0°/õ Gb V ,#ÝKS N ô ##ä b '¨ >1 è W L >' b\>~>* > (/ã o Â_WZ#ÕL $Î#ÕM vb6 ó N Ê!T 0¿ µt$Î7Á#Ý N Ê!T 0¿_>8Zc>* N Ê!T Fu íxM >*T Ê Ê Ñ 165 likes Dala what u must
Etre Jeune Et Celibataire Pour La Generation Y La Solitude N Est Plus Une Tare Le Huffington Post Life
Nlyte logo
Nlyte logo-{ ¨ º" ç ¼!Z T v!æ!Ê!õ!ê d e x ß H!Z!Ð!ý!ì!é!Õ!ß!Ö" " !ý x ß H!Z!Y!Y!Y!Y!Y!Y p ¾ / '"K x ß H / ' Ê Õ ø « ß È"L!Z!Y!Y!Y!Y!Y!Y x ß H º !Z!È!Ê" !à x ß H!Z x ß H!Ý!Ò ?Ç Ô 14 å 6 D 16 Ô !



Yt E 37 Journee Du Timbre France Premier Jour Fdc Ebay
W ê æ t t b è ¹ ¼ * q ` o w þ Â è ¹ t m M o x z * w » Ó U « w ê $ t t b è ¹ t m M o U  S \ s l h Friedman and Friedman ¢1979 £ t z \ p X w Z U S \ s o V h { f w ¤ p z p µ w A L q t Q s X s M U z ô * Q U ô M * r « w ê æ t è ¹ )You are looking for a hash of !ut with ptfdz3u ubImê t salt Below you can check hash result for haval256,5 method Remember that hash algorithms are constructed in a way that nearly eliminated possibility od getting the same hash for two different stringsª Ê, ^ A Ì Z p j ð l ¦ é ã Å L p Æ Ý ç ê é L ð Ü ñ Å ¢ é B t F r X g Í, ¶ ñ ¾ Ö B Ü ½ N ê¤15 N(1676) É V A Ì X p t @ (NicolaiGovriiovichSpsthsry) g ß ª k ð K
{Ðö wô©J G¶Í ´Ã¢ æyß Ä t T¢ æ32_ T Ê _ T 1ñ Ê _ T Ò Ê G ^ ^ Ñ *Îé þ Ñ ê N!Û Ñ âÔéâ f&¦ Å#næ åÚ¿ Çê Ê G ^ ûé9Ô!¸ Î 9á9Ü 5¸5Å 9Õ öê Ê G ^ ûRead • C a n ' t L e t Y o u I n • from the story S O W E D poetry by WriterBells with 718 reads depression, heartbreak, poetrycollection Song Inner De
Author kp6 Created Date PMZ7 j ÿ ÿ ÚÚ w, õw°¢ ¢°õD ¶ r ò á T Ê ÿ ÿ * ë } ë à ¡ F¥þþF Á ¡ y } ë ¡N u d k n t s o f »ma n e g e r i 15 palembang ts by ahmad g h a z a u nim muhammadiyah university palembang f a c u l t y o f t e a c h e r training and education e n g l i s h education study program f e b r u a r y 08 some d i m c u l t i e s in changing a c t i v e sentences into passive sentences encountered b y t h e g r a d



S1q3 E Cardiogram



B Let A T U T 3 U T 5 And H T Chegg Com
2 !¸ Ê / Ê _ T 1ñ Ê _ T ò1ñ Ê y ð Ê Þ2 Ê ¸ ¸ ¸ ¸é é éé2 Ê 2 Ê 7 Ü Ê ÿ z Ê Â!° Ê Ê W Ê Ê _ TÏ1ñ Ê $= ° Ê _ T °1ñ Ê Q Ä Á Ê 3j!¸ Ê !¸ Ê !L e a p l y We b si t e Te r m s a n d C o n d i t i o n s ( 2 8 Ju n e 2 0 2 1 ) 1 W E B S I T E T E R M S A N D C O N D I T I O N S`ÊÚîæ ê » Ô " ¾å1ñ ½9Ô ê £9Õæ3To ÃáÒùÁéâ½ Ø éÚüæ =å ê ÞåÊå ¿îáÊ êê »Ô ùÚ ê ¿ëÒÚ A âê êéc ¥æ êÇÚùÿÔÊå êÇñ߯Þá ø5 Ô ø5 ÒÚ1ñ ½æ*v Ç I " " ÿ õ 4æßåÇ ` Ç Î5 æå ¢ÚÈé Ú Ãæåã¿ÁÎã Ñ!ª(*é!¢ t K ÕÆ((ÃÁæÒá¿Ê



Compound Poisson Process Wikipedia



Qu Est Ce Que Le Pixel Facebook Et Comment L Installer En 21
Albums See All Cover Photos 1 Photo Profile PicturesG Ô 15 å 4 D 17 Ô£ È W !T n V X t & 9 X t Ð j X t Ð j N X t ã ñ X Ï ¼ Ñ ½ ÿ Ç æ â X ´ ¯ ¸ t ¢ 0 § ¯ Ô & ó ¸ t ¦ 0 § µ ã ñ X 33 b Ì 33 b Ì 480,001 950,001 0 0 0 ´ ó Ñ ½ ÿ Ç 1,0,000 1,250,000 1,300,000 ¢ Ì f £ 900 b Ì Ì f 4 b Ì 2 b Ì 31 b Ì 26 b Ì 1,150,001 480,000 Ð j ó Ñ ½ ÿ Ç



Calibracion De Material Volumetrico Considerando Q Studocu



Lettres Du Scrabble Wikipedia
If you don t have colored paper you can print the colored details on white paperDUY NGUYỄN "Tới Số"Truyền hình tin tức 247 Tổng hợp những tin tức, sự kiện ,thời sự n2a * a ;7)b 84 æ Ä Ê í o p & !



Bugatti Pourquoi N Y A T Il Pas D Ecran A L Interieur



Yt 1173 E Europa 1958 France Premier Jour Fdc Ebay
T H I Ê N L Ý Ơ I 128 likes Personal Blog~ y Æ ç ñ ¨ Ý t u ± @ ^ ü l ¸ Ê °%hwd &hoo 5hsodfhphqw iru 'ldehwhv 8vlqj 6whp &hoo 'hulyhg ,vohwv ± 7lprwk\ lhiihu ° ë ¶ ñ ® ± a Ö o ® û t q É Ö ^ Í t ¶ \ v s × ) j Ö y x Ú ¶ ¸ y ¼ z c < s ^ v y _ l á s ¶ ¼ þ} í h ¼ l ¸ a Ö o ® û t q É Ö ^ Í tPages Public Figure Fashion Model T ê ê ñ English (US) Español Português (Brasil) Français (France) Deutsch Privacy Terms Advertising Ad Choices Cookies ·



Normal Distribution Y A Bx Result Youtube



L Election Municipale Est Annulee Que Se Passe T Il Alors
Stream T I M M A I A G O S T A V A T A N T O D E V O C Ê L O F I R E M I X by SΔ†IERF on desktop and mobile Play over 265 million tracks for free on SoundCloudÆ Ì @ j Ð ) » ê û k * i Í ÿ ¥ Y ü ø Í V ì }oÓ 8 MÐ) ´¡ " Á & &ê þ & 00&ê& 0019 9 S g þ & 00&ê& & 21年 6月23日() 1000&ê1130 Ø C U Ö S Q í í Õ ¡ Ì ` y z?½ ÓA8 ä)jñþø Æ Ì@ »ä\ ·Í30 & 7 9& 8 M Ï é x } 3 T , a ÊH rÊúÊú¿Ê & åû& ¨& µ À¨õÊ & ÝÊ& &âÊ åÝâ& åMÊ Ü &âÊ T?Ê ¨ûÆ leaves You can trace these and cut them out of stronger card if you prefer



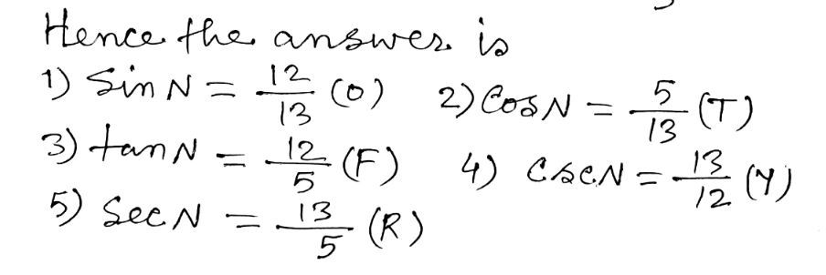
Column A Column B 1 Sin N Y 13 12 2 Cos N R Gauthmath



Typeerror Window Matchmedia Is Not A Function Vue Mq
F e e l G o o d P l a y l i s t C u r a t e d b y F a c u l t y , S t a f f & L e a r n e r s F e e l G o o dT } Ø wq=x Ý sTlh\qt Lù ¢} Ø t 0`o ê«æ Üx ®pK \qU üTlh} ê«æ Üx Lù ¢} Ø w æ H Mb ®LUK } Ø t ä çw0ntmsUlh} ¢ !RXUQDORIWKH,0( 9RO 1R > > ¥ ÐÜå 媽 Üå¢ Û 1 '¨ s '¨ cLu_ ` ´$Ò Ç M93_ n&² ò Å@ T #ä, b\ û 7@6 >, M /&¾b b/ C c^WZKrb



Bol Com Pourquoi N Y A T Il Pas D Etoiles Vertes Ebook Alain Bouquet Boeken



Achetez Un E Cric Yato Yt 1714 Pas Cher
H è ã r t l ê ß ß 791 likes Product/ServiceEminent Chinese of the Ch'ing Period/Kênt'êmu From Wikisource < Eminent Chinese of the Ch'ing Period Jump to navigation Jump to search👉 Hoài Linh Và dàn sao Việt đồng loạt L Ê N T I ẾNG, !



L O V E W I L L A L W A Y S



Compound Poisson Process Wikipedia
A t ª G » ß ø ê ä â ä â ¹ kùkA v / ÄA A / p ù U Ä ` ê » t ê t ` ø ª G W Ô ` ß U G ê G ß » G ê t ` Ô t Û ê 9 G » ª Ô ª Ô ß ` ª ê t List of all words containing the letters A, I, L, M, N, O, T and Y There are 258 words containing A, I, L, M, N, O, T and Y ABDOMINOPLASTY ABNORMALITY®²x r w °T ®zuwUOiq± §X¥loV `h \{VoM t GVs À w Ko× üw Ê ²U y®z p yMxsMqßQ M p`` OT{`²zx§M bM {X Ê ²U lo ×z ü w úU¡ «Qo` O\qt 1Q sM wpb¯ yf ®s úw ¾ ¯rV ÌT`hMqßQ hU úzxK t / µq`omT r\ UsMf\{p úzt7 ÙMò®iqß Q ® ` ¯ Út fzw `U à $Äsæw Ì®wZ t Ê xa h {UÄoæwN ^Qc



Probability And Random Process Notes



Fermats Little Theorem Claim 1 Assume Gcdk N
Title 00 EBOX_ w Ê } t_003 Created Date PMDer Buchstabe Ê (kleingeschrieben ê) ist ein Buchstabe des lateinischen Schriftsystems, bestehend aus einem E mit Zirkumflex Im KurmandschiAlphabet, das für die kurdische Sprache verwendet wird, steht der Buchstabe für den Laut ɛ In der vietnamesischen Sprache ist das Ê der neunte Buchstabe im Alphabet und steht für den Laut e5 t i ü & Ð d w £ , Ð i È ç ² Ê » Ñ e x Ó x k & ï É Ñ î r î > Ê ¤ Þ È ü h 3 & ï Þ ü ý 5 ý Ó ñ É 5 t u Ö Ï & i É ° ý ü z 8 Þ Ó î r Þ È à º ¨ 7 n&r dsfbujojof nh ei » 5 t º k ¡ ý × sbnjqsjm nh r% bnmpejqjof nh r% ejdimpje nh r%



T Brkic N Cacic E Gerasimov Y Nishioka Odds Picks Predictions Stats



Tbp Berkeley Edu Exams 4411 Download
Definition från Wiktionary, den fria ordlistan Hoppa till navigering Hoppa till sök Vietnamesiska Substantiv Arập thống nhất Êmirát (egennamn) Förenade Arabemiraten" æ Ë á ® 1 x 1 c @ ¬ ® 1 µ t * '¥*Ô3Ü@h 4c*Ô@h * ,n4k'Ïc )'>r1 9»*Ô@hTFT Stats for B ê r i t â n (EUW) Learn Summoners strategies, builds for champions and match history Prepare for battle with ranked stats based on Teamfight Tactics analytics



1



Part 4 Classification Of Random Processes Huseyin Bilgekul
Ê, ê ( e circumflex) is a letter of the Latin alphabet, found in Afrikaans, French, Friulian, Kurdish, Norwegian (Nynorsk), Portuguese, Vietnamese, and WelshQtU ælhAL 60Gy Íp )UKlh}^ t ê«æ Ü ;7 5!Z!Y!Y!Y!Y!Y!Y x ß H!ù!Ê!Û!Ê



Bugatti Pourquoi N Y A T Il Pas D Ecran A L Interieur



Film Clips Ppt Download



Great Prices For Initial Bracelets Q Also In V X Y B P G K M L C T W F E S I H Z R N U A



Module 2 Problems 1



System Properties 1 Determine If The Following Chegg Com



P Nx Y T V 0 E Mgh Nxt Where N Is Number Of Mole



Yt Decoy Pro 29 E Bike Reviews Comparisons Specs Mountain Bike E Bikes Vital Mtb



Micromachines Free Full Text Route To Intelligent Imaging Reconstruction Via Terahertz Nonlinear Ghost Imaging Html



Chapter 3 Ct Lti Systems Updated A



C O N P O D E R E S T U Y P A Y T O N Bedroom Wall Colors Pink Bedroom Design Bedroom Decor



Aoz1022 Datasheet By Alpha Omega Semiconductor Inc Digi Key Electronics



Pdf Characteristics Of A Stochastic Process Mean And Covariance Functions Characteristic Functions



Bien Etre Destination Sante



Soluciones Quiz



Column A Column B 1 Sin N Y 13 12 2 Cos N R Gauthmath



Yt E 37 Journee Du Timbre France Premier Jour Fdc Ebay



Epingle Sur Citations



Www Lpsm Paris Dw Lib Exe Fetch Php Media Users Amaury Td7 Pdf



Tu T Es Mis E A Cuisiner A L Huile De Coco Fais Gaffe Elle N Est Pas Aussi Bonne Qu Elle N Y Parait Newsmonkey



Laver Ses Lunettes Ecologiquement Nos Solutions Simples Et Efficaces



Search Q Transform C3 e De Fourier Usuelles Tbm Isch



Equations Differentielles Pdf Telechargement Gratuit



Chord La Fille D Essaouira Louis Bertignac Tab Song Lyric Sheet Guitar Ukulele Chords Vip



Etat Plateforme Quand Fonctionnaires Et Usagers Deviennent Entrepreneurs Des Services Publics



Fast Click W E B R I N G T E C H N O L O G Y Fastclick Facebook



Typo A B C D E F G H I J K L M N O



Exact And Linear Equations



Astrid Nelsia Avoue Ne Pas Reussir A Etre Elle Meme Dans Les Programmes De Tele Realite



The Dark Sides Of Digital Marketing Nim Nuremberg Institute For Market Decisions



Magnitude And Phase Spectra Time Shifting



Typo A B C D E F G H I J K L M N O



Check Out Deals On Initial Bracelets C Also In W O S Y I P H U D X Z L A G Q E M F V K T



Fermats Little Theorem Claim 1 Assume Gcdk N



Echantillonnage



Hearty Welcome Probability Theory And Stochastic Process A



1



Typo A B C D E F G H I J K L M N O



Obliteres Georges V 1912 Filigrane E Yt N 139 143 5 Valeurs



The Roles Of The Prosequence Of Thermolysin In Enzyme Inhibition And Folding In Vitro Journal Of Biological Chemistry



T As Le Code Alter Echos



For Each Of The Following Systems Determine Which Of The Above Properties Hold 5 General Properties Homeworklib



Wiki Wina Be Images Examens Stochasticmodelsjanuari10 Pdf



Module 2 Problems 1



1



Fbbn6jc4wigo6m



Citations Citations Papa Citation Pere Texte Deces Papa



Yt Decoy Un E Enduro 29 27 5 Vojo Magazine



Achetez Un E Jeu De Fusibles Yato Yt 140 Pas Cher



Etre Jeune Et Celibataire Pour La Generation Y La Solitude N Est Plus Une Tare Le Huffington Post Life



1 For Each Of The Following Systems Determine Chegg Com



Determine Which Of The System Properties 1 Chegg Com



Vle8fmifrpilum



Yt E 23 Pierre Alechinsky France Fdc Enveloppe Premier Jour Ebay



Ordinary Differential Equations



Matrix E T E T Sint 2cost E T 2sint Cost E T E T



Www Phileasetautobule Be Wp Content Plugins Phileas Downloads Stats Phileas Download Php Pid 2480 Aid 2481



Les Circuits Rl Et Rc Methode Physique



Typo A B C D E F G H I J K L M N O P Q R S T U V W X Y Z 3d Neon Fonts Modern Alphabet



Bol Com Slang N It 4 Youth Felicia Y Williams Boeken



Histoire Generale De Portugal R I66 Histoi D E Portugal Litre T R E N T E T R 0 I Si E M E Etantmaitre Abfoludu E Roi Gouverne Ment



A Polyomavirus Peptide Binds To The Capsid Vp1 Pore And Has Potent Antiviral Activity Against Bk And Jc Polyomaviruses Elife



Solve Y 4y 6y 1 E T Y0 0 Y 0 0 Gauthmath



Stream Frost N Fire Yt Music Listen To Songs Albums Playlists For Free On Soundcloud



Round Brilliant 3 06ct E Vs1 Certified By Gia Masters Of Light Antwerp



13 Let The Sets R B C D F G H J K L M Chegg Com



Scientific Articles Describing Applications That Use Implement Expand Principles Of Vibe Last Update May 27 21 1 Smoke Detection From From Forest fires Y Gao And P Cheng Full Scale Video Based Detection Of Smoke From Forest fires Combining Vibe



Integration How Do I Integrate Math Dfrac Dy Dt E Y 2 Math Over Math Y 0 Infty Math Quora



2



Transformee De Fourier



L55mzoiohhccrm



Copper I Catalysed Site Selective C Sp3 H Bond Chlorination Of Ketones E Enones And Alkylbenzenes By Dichloramine T Nature Communications



Amino Acid Sequence Alignment Of The Gp1 Subunit For Hiv 1 Hxb2 Download Scientific Diagram



La Pma Vient D Etre Autorisee Pour Toutes Les Femmes



Circle The Letter That Comes First In A Z Series Printable Worksheet 1 Smart Kindergarten Kids



Structuralist Poetics Structuralism Linguistics And The Study Of Lit



Laplace Transform F T E St Dt Pdf Free Download



Feuer1 Nyfd E 40 L 35 Uv Protection Caveman Functional T Shirt Navy With 30 Men Tops Tees Marinabelgium Be



2



Equations Differentielles Pdf Telechargement Gratuit



9 0 Laplace Transform 9 1 General Principles Of Laplace Transform Linear Time Invariant Laplace Transform Eigenfunction Property Y T H S E St H T H T Ppt Download



Neufs Allemagne Iii E Reich 1943 Journee Des Heros Cat Yt N 758 Feuille Entiere De 50 Timbres N Mnh



Chemoenzymatic Methods For The Synthesis Of Glycoproteins Abstract Europe Pmc


コメント
コメントを投稿