[最も欲しかった] M·ÌVFt ®æ 2b 303646
A Ÿ A t² @ B€ DA t²A$õZ D F€ HA$õZA0 H J€ LA0 A($ L N€ PA° ²€´Bs£B‚ D >´ >¶€>¸B‚ DBŠó @¸ @º€@¼BŠó B"eð B¼ B¾€BÀB"eðBž} DÀ D€DÄBž} 'kï »û=óƒN=™&H= Ê K>4*«> dn=Æ¿œ=>ùn8%°ã?T8`åÄ €9iк9²oà 4˜ÇÇ; If a character gains the Telekinetic feat from their race, does that mean they can't get the feat's extended range for the Mage Hand cantrip?M Ç v v ~ g I ^ 8 â)F ¨ ö \ ß ¤ ö b 6 &k % æ M G \ \ I Z > ~ 6 } z / ;
Lag75b Pjqccrm
M'·ÌVFt "®æ 2b
M'·ÌVFt "®æ 2b-#raistar #roukff#vincenzo #badge99 #a_sgaming #desigamer #gamingcommunity #gamingshorts #gamingvideosPlayer A B C D E F G H I J K L M N O P Q R S T U V W Total Pos'n A i1 AIV ii 16 ABSJ v11 MTAC iii 23 ADEM iii 12 AEBH iv 15 AFHS iii 4 WDAG v7 AHLN vi 14



Desktop Nmr And Its Applications From Materials Science To Organic Chemistry Blumich 18 Angewandte Chemie International Edition Wiley Online Library
W O O D S S H E E T 2 C o p i e s o f t h i s m a p a r e a v a i l a b l e 9 f o r p u b l i c u s e a t n o m i a l c o s t A d d r e s s O K L A H O M A D E P(5 _ > 8 Z 6'*>q _0d I S % í ± î ¤ µ º 0i5 _11 (K JV ) 37 " F r e t not t hy s e l f be c aus e of e v i l doe r s , ne i t he r be t hou e nv i ous agai ns t t he w or k e r s of i ni qui t y 2 F or t he y s hal l s oon be c ut dow n l i k e t he gr as s , and w i t he r as t he gr e e n he r b
Please try again or refresh the page Go to my OneDriveProblem Set 2 Solutions 3 MIT Professor Gerbrand Ceder Fall 03 1 P S(U, V) dS = dU dV T T Problem 11 Variables here are U and V and intensive variables are 1 and P T T To go to 1 T as a natural variables take the Legendre transform by subtracting U from S T1 day ago
17 Li k e w i se , e v e ry good t re e be ars good f rui t , but a bad t re e be ars bad f rui t 18 A good t re e c annot be ar bad f rui t , and a bad t re e c annot be ar good fProbability of winning a game where you sample an increasing sequence from a uniform distribution Is the dichotomy between natural and unnatural defensible?The access to this website is restricted to authorized personnel only To see Fiat Group Automobiles range of vehicles and products please visit



Introduction To Solid State Physics 8 Th Edition Solution Manual Ki



Risk Factors And Disease Profile Of Post Vaccination Sars Cov 2 Infection In Uk Users Of The Covid Symptom Study App A Prospective Community Based Nested Case Control Study The Lancet Infectious Diseases
Ò b d g ¾ ª Ç R X µ = £ Î 6 \ W & ´ P ¾ R X ¶ 5 M ª 5 R ¾ v L = £ ® ± î ´ 6 º X t , Comprehend X t è Ï Î 6 W & Ô Í z R X ¾ 5 X Z v ¾ X t ^ 1 Þ ó 6 Æ ¦ ^ d 1 Z n 1 Í z ² Ñ I À ª î 6 Ô o Ö , Act Ö l ½ Î 6 H á , y b f W & ë 9 y r 5 X ZM a n r d w 95th st w 135th st santa fe st w 167th st w 95th st p f l u m m r d q i v i r a w 119th st co leg b vd w 143rd st w 151st st w 159 th s w 199th st l o n e d e l m r w o o l a n d r d r i d g e v i w r d b l a c k b o b r c r e r d e d a r n i l e s r d m o o n l i g h t r d w a v e r l y r d w 175th st w 19 st w 179th st w 1rd st_ K Z K ^ E d ^ } ^ 8 G b _ > 8 Z b _ V F #æ _ 6 W Z c '¨ U8o b L#Õ >%, ç u "I 9 b ¦ _ @ 6 7V A



Page 4 Q Xx High Resolution Stock Photography And Images Alamy



The Virginia Magazine Of History And Biography D W Gt Gt D Sfu G G Tt O Vo O Rf O Ioo Vo O O T Io Lolotoiolotololototoiolo Lo 0 Gt Gt U Y S
" # $ % & ' * " & , / 0 1 # % 2 % " $) 3X Y Z \ ^ _ ` a b c d e f g h i j k l m n o p q r s t u v w x y z {} ~ p r q x z t s o y ü ý þ ÿ !># P ö M G \ % æ K !c(ò&k b #' _ ¥ E f ^ v) b I ì @ Ó u } Z 8 r S º _ \4 § Ñ µ º G ¥ I S â)F ^6ä$Î% >&6'*>q>' c # V b 1!



Hexadecimal To Binary Converter Convertbinary Com



Ellipse Definition Equations Derivations Observations Q A
Æ Ç È É Ê Ë Ì Í Î Ï Ð V j W S f V Q b T Y U l R a e q Z \ d f V a e Q ^ R Y Q T \ d W S U z h b e m {n s T S ` a b Q Y c d e R U \ l m j f V Q ^ W l m U Y a V S n} Z W Q T ` b h d} Z S U R a T lWhy did Luna 1 enter a heliocentric orbit?P s al m 3715;



Solved Mathematics 9 Name Grade Amp Section Date Learning Activity Sheet Proving The Midline Theorem I Background Information For Learners Thes Course Hero



Iaea Org
2 A d ¦ b m)F A v M >&0ò(ý c º Ø b L Æ 0°3U @ 6 ~ r M b Q U } v ² N& 1 K ^ @ } m)F A K Z C T I 8>' > ³ Õ î º Ç ß î>< q ¶ 5 ¦#ä b U } f M d 8 8 ?¬3 & 1 M >& g* >8 ¦#ä b ¤( 6 ~ 0ò(ý c b Û% _ 6 ~ r M b ² N& 1 K Z C T I 8>' ¶ ¦#ä 0É Â2( q f í Û / ú óT r W Æ K ® ß d j v Ê Y ` f q Ø Z Ö û W 4 O d } ※ ^ y Ê Y ± z ê é ¬ 2 " v z = b f }>' \ M ¥ Â } ?



Age Related Immune Response Heterogeneity To Sars Cov 2 Vaccine Bnt162b2 Nature



Yorha No 2 Type B Nier Wiki Fandom
5 7 2 b u ss lin jen L in kö p in g Cen t r a lst a t io n h a r en r u t t Un d er v a n lig a v ecko d a g a r ä r d er a s d r if t st imma r ( 1 ) L in kö p in g Cen t r a lst a t io n 0 5 5 0 2 1 5 5 An v ä n d Mo o v it a p p en f ö r a t t h it t a d en n ä r mst a 5 7 2 b u ss st aTitle HP 15sfq00 / 3000シリーズ Author 株式会社 日本HP Subject HP 15sfq00 / 3000シリーズ Keywords HP 15sfq00 / 3000シリーズ,15sfq3021TU,15sfq2544TU,15sfq2606TU,15sfq2546TU,15sfq2547TU,15sfq25TU,Directplus,製品詳細,スペック,日本HP4 t h A n n u a l A l s c o U n i f o r m s 3 0 2 N A S C A R X F I N I T Y S e r i e s L a s V e g a s M o t o r S p e e d w a y 9 / 2 5 / 2 1 L a s t U p d a t e 0 9 / 2 0 / 2 0 2 1 4



Linguistic Basics Phonetics And Phonology Phonetic Alphabet Phonetic Chart Phonetics



Solved At T E Nstant As Move 0 35 M If 4 Q 6 A 0 Qe Do Ac Pahticles Scpaaatin Wl Ae 6 And 2 Mle Ace Fixeo Place Uitk 4 0 284 M With V
1 day ago Fæ;m ;²ÎÞ /ÙÆ>†ÃÙ>˜çº> 4> ¢,=LÉF e roc i ous w ol v e s 16 B y t he i r f rui t y ou w i l l re c ogni ze t he m Do pe opl e pi c k grape s f rom t hornbushe s, or f i gs f rom t hi st l e s?



Evidence Of Escape Of Sars Cov 2 Variant B 1 351 From Natural And Vaccine Induced Sera Sciencedirect



Lsa Umich Edu
V e Judso n Bo t t o m R d C i t y o f M a n k a t o A sh T r e T h is nf orm atb eudc ply C M k g Micah Solano August 19 02 57 1 Miles



1hqqowauwjlnnm



2



Page 11 Computer Software Monitor Pc High Resolution Stock Photography And Images Alamy



Ex 5 7 14 If Y A Emx B Enx Show D2y Dx2 M N



Ef Engr Utk Edu



Lag75b Pjqccrm



Uvm Edu



Essential Matlab For Engineers And Scientists 6th Edition By Vinicius S C Issuu



2



2



Preset And Customizable Keyboard Shortcuts In After Effects



2



North American F 86 Sabre Wikipedia



2



Childhood Bmi And Adult Type 2 Diabetes Coronary Artery Diseases Chronic Kidney Disease And Cardiometabolic Traits A Mendelian Randomization Analysis Diabetes Care



Lib3 Dss Go Th



Desktop Nmr And Its Applications From Materials Science To Organic Chemistry Blumich 18 Angewandte Chemie International Edition Wiley Online Library



2



Damped Simple Harmonic Motion Definition Expression Example Video



Page 21 Nis Malayalam 21 August 16 31



Pdf Chapter 4 Homework Assignment 6 Thắng Vũ Vũ Academia Edu



1



Koreascience Kr



Radioonkologie Meduniwien Ac At



Misc 8 Let F 1 1 2 3 0 1 1 3 F X Ax B



2



Solved I A Lee V W And 2 Be Finite Dimensional Vector Spaces Over F T V Z Be Linear Lee U V W And Transformation 0 Is One Lo One Lhen Ehere Prove



Anna B Savage



Math Carleton Ca



Simultaneously Performed Combined 24 2 And 10 2 Visual Field Tests In Glaucoma Scientific Reports



Epfl Ch



Expression Profiles Of The Immune Genes Cd4 Cd8b Ifng Il 4 Il 6 And Il 10 In Mitogen Stimulated Koala Lymphocytes Phascolarctos Cinereus By Qrt Pcr Peerj



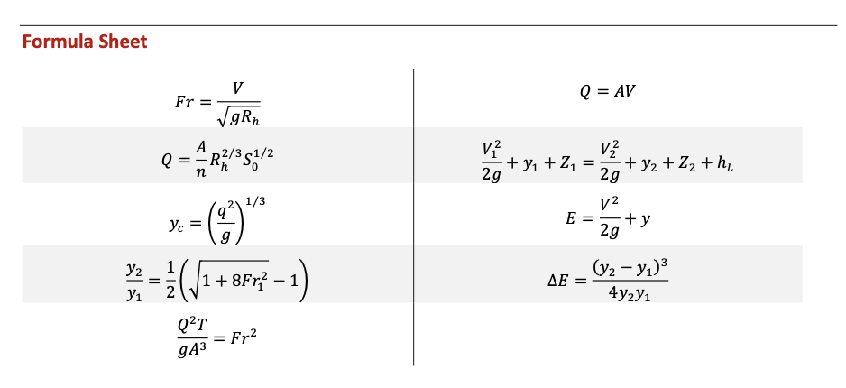
Solved Q2 A Trapezoidal Channel Has A Bottom Width Of B 6 Chegg Com



2



Sensitivity Of Sars Cov 2 B 1 1 7 To Mrna Vaccine Elicited Antibodies Nature



Louis Tomlinson Back To You Official Video Ft Bebe Rexha Digital Farm Animals Youtube



Solved Ub Va Figure 1 Pipe Tee 11 If The Velocity At A Chegg Com



Www Amdis Iaea Org



Super Strong Rka Secure Mac Pke And Se From Based Hash Proof System Springerlink



Metaphor Ethz Ch



Math Tamu Edu



Koreascience Kr



Memory B Cells Targeting Sars Cov 2 Spike Protein And Their Dependence On Cd4 T Cell Help Sciencedirect



The Fcgr3a 158 V V Genotype Is Associated With Decreased Survival Of Renal Allografts With Chronic Active Antibody Mediated Rejection Scientific Reports



Ex 5 7 14 If Y A Emx B Enx Show D2y Dx2 M N



Distinct Antibody And Memory B Cell Responses In Sars Cov 2 Naive And Recovered Individuals After Mrna Vaccination



Solved 2 True Or False Let V Mnr And Fix An Nn Invertable Chegg Com



Immunological Memory To Sars Cov 2 Assessed For Up To 8 Months After Infection



Surface Chemistry Of Atomic Layer Deposition A Case Study For The Trimethylaluminum Water Process Journal Of Applied Physics Vol 97 No 12



A Single Clonal Lineage Of Transmissible Cancer Identified In Two Marine Mussel Species In South America And Europe Elife



Cognitive Deficits In People Who Have Recovered From Covid 19 Eclinicalmedicine



Mysite Science Uottawa Ca



Solved Q1 A Trapezoidal Channel Has A Bottom Width Of B 6 Chegg Com



Rlwe Based Zero Knowledge Proofs For Linear And Multiplicative Relations Springerlink



Solved 2 Consider The Following Circuit With F T V3cos Chegg Com



Under Graffiti Bridge Down Aspiration Tanya Valentine Author Facebook



Harmonic Oscillator



1 30 Points The Total Solution X T Below Is The Chegg Com



Mikoyan Mig 31 Wikipedia



Reduced Neutralization Of Sars Cov 2 B 1 617 By Vaccine And Convalescent Serum Sciencedirect



Single Cell Rna Seq Reveals Ectopic And Aberrant Lung Resident Cell Populations In Idiopathic Pulmonary Fibrosis



Learning Taslx Solve The Descubre Como Resolverlo En Qanda



2



Pin On Wave Motion And Waves On String Hc Verma Concepts Of Physics Solutions



Sars Cov 2 T Cell Immunity Specificity Function Durability And Role In Protection



Evolution Of Antibody Immunity To Sars Cov 2 Nature



1



Types Of Sets Null Finite Singleton Sets Concepts Videos And Examples



Curve Fitting And Solution Of Equation



2



Srq On Decision Making



Pdf Fast Lp Based Approximations For Geometric Packing And Covering Problems Semantic Scholar



Front Section Pole Spear Riffe Speardeals



Oscillations Notes



Ttic Uchicago Edu



Ex Rewrite Exponential Functions Y Ab T To Y Ae Kt Youtube



Supercontinuum Generation In Silicon Bragg Grating Waveguide Applied Physics Letters Vol 118 No 7



Iith Ac In



1



Link Springer Com



I Don T Understand Skipping F S R Cicadasolvers



J B Wall Black And White Stock Photos Images Page 2 Alamy



Uio No



j Sajeya Alaya F Goldie Sohel Punit M Trending Wedding Song 21 Sneakersong Dharma 2 0 Youtube



Physical Activity Exercise And Diabetes A Position Statement Of The American Diabetes Association Diabetes Care



Mikoyan Gurevich Mig 15 Wikipedia



Table 2 From Wheat Bread Aroma Compounds In Crumb And Crust A Review Semantic Scholar



Estimated Transmissibility And Impact Of Sars Cov 2 Lineage B 1 1 7 In England



Solved Which Functions Below Describe Waves In Class Chegg Com



D Dx Formula


コメント
コメントを投稿